涂料文集
紫外光固化材料表面物化性质的表征与研究
  骆 燕 , 王德海 , 蔡延庆 ( 浙江工业大学化学工程与材料学院 , 杭州 310014) 
  摘 要 : 紫外光固化材料的表面性能指标有很多 , 如光泽、硬度、耐磨性、表面能等。目前在该领域中 , 快速成型技术、固相微萃取技术等的发展对涂层的表面润湿性、再涂覆性以及吸附性能提出了更高的要求 , 而这与固化涂层的表面能及表面化学结构组成等有着密切的关系。因此已有很多研究者针对这些方面做了相关工作。本文综述了有关光固化材料表面物理化学性质的研究方法和测试技术 ( 如 ATR - FTIR 红外反射分析技术和 XPS 分析 ) , 并讨论了紫外光固化材料的组成物质等其他条件对固化材料表面性能的影响。 
    关键词 : 紫外光固化 ; 表面能 ;ATR - FTIR; XPS; 特征官能团 ; 元素 
    0  引 言 
    由于紫外光固化技术具有高效、节能、污染小等优点 , 现已广泛应用于涂料、胶粘剂、印刷业等行业。随着紫外光固化技术研究的不断深入、应用领域的不断扩大 , 人们对紫外光固化体系有了比较深刻的认识。然而目前关注较多的是光固化材料的本体性质 , 例如其固化时的体积收缩 , 固化材料的热性能、机械性能等 [ 1 - 2 ] 。然而 , 在紫外光固化技术许多应用领域 , 如 UV 固化涂料、 UV 印刷油墨、快速成型技术 [ 3 ] 、固相微萃取 [ 4 - 5 ] 中 , 固化材料的表面性质扮演着更重要的角色 , 因为它直接关系到固化产品的美观性、尺寸精度、萃取选择性和灵敏度等。与表面相关的特征有 : 表面的润湿性、光泽、硬度和耐磨性等。其中针对光泽、硬度、耐磨性等指标 , 已有较多研究 [ 6 - 8 ] 。本文将围绕光固化材料表面物理化学性质的表征及影响因素 , 综述相关领域的研究进展。 
    1  表面物化性质研究方法 
    紫外光固化材料的表面能、表面特征官能团、元素组成和状态等信息有利于研究表面的物化性质 , 而对于物化性质的把握有助于认识固化材料表面性能差异或优劣的根本原因。因此 , 以上信息具有一定的实际意义和研究价值。下面分别介绍几种重要的光固化材料表面性质的研究方法。 
    1. 1  表面能测定 
    固化层的表面能可以反映出其表面润湿性能的优劣 , 是表面性能的一个重要指标。液体的表面自由能即表面张力可以通过实验的方法直接测得。固体的表面自由能不能通过实验直接测得 , 只能借助于与固体表面有关的一些方法来推算。已有文献报道通过测定标准探针物质在涂层表面接触角的方  
 图 1   添加剂 F1 对涂膜表面润湿性的影响
图 1   添加剂 F1 对涂膜表面润湿性的影响
 图 2   添加剂 F2 对涂膜表面润湿性的影响
其中 F1 、 F2 分别为
图 2   添加剂 F2 对涂膜表面润湿性的影响
其中 F1 、 F2 分别为 : 和
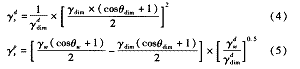
 : 和 。其具体原理和方法如下 : 根据 Fowkes 理论 , 有机化合物 ( 包括固体和液体 ) 的表面张力主要是由表面张力的色散分量 ( γ d ) 和极性分量 ( γ p ) 构成 :
。其具体原理和方法如下 : 根据 Fowkes 理论 , 有机化合物 ( 包括固体和液体 ) 的表面张力主要是由表面张力的色散分量 ( γ d ) 和极性分量 ( γ p ) 构成 : 
 Owens 2 Wendt 方程从色散力的角度给出了接触角的表达式 :
    Owens 2 Wendt 方程从色散力的角度给出了接触角的表达式 : 
 将 (2) 与 Younge 方程相结合 , 得出方程 :
    将 (2) 与 Younge 方程相结合 , 得出方程 : 
 (2) 、 (3) 式中 ,
    (2) 、 (3) 式中 ,  分别为二碘甲烷的色散力、极性力和表面张力 ,
分别为二碘甲烷的色散力、极性力和表面张力 , 为水的色散力和表面张力 ,
为水的色散力和表面张力 ,  分别为固体的色散力和极性力。因此 , 如果有两种液体 , 它们的表面张力及其色散分量和极性分量都是已知的 , 则测出这两种液体在待测固体表面的接触角便可以最终得出固体的表面能。该文中用水和二碘甲烷 ( 此法中常用的标准液体 ) 测量 , 其中 , 水的表面张力和色散分量分别为 72 . 8 mN /m 和 21 . 8 mN /m ( 20 ℃ ) ; 二碘甲烷的表面张力和色散分量分别为 50 . 8 mN /m 和 49 . 5 mN /m ( 20 ℃ ) 。将水和二碘甲烷的表面张力、色散力以及两种液体测得的接触角代入 (4) 和 (5) , 可得固化材料的色散力和极性力 :
分别为固体的色散力和极性力。因此 , 如果有两种液体 , 它们的表面张力及其色散分量和极性分量都是已知的 , 则测出这两种液体在待测固体表面的接触角便可以最终得出固体的表面能。该文中用水和二碘甲烷 ( 此法中常用的标准液体 ) 测量 , 其中 , 水的表面张力和色散分量分别为 72 . 8 mN /m 和 21 . 8 mN /m ( 20 ℃ ) ; 二碘甲烷的表面张力和色散分量分别为 50 . 8 mN /m 和 49 . 5 mN /m ( 20 ℃ ) 。将水和二碘甲烷的表面张力、色散力以及两种液体测得的接触角代入 (4) 和 (5) , 可得固化材料的色散力和极性力 : 
 式中 , θ dim 和θ w 分别为二碘甲烷、水在紫外光固化材料表面的接触角。 
    1. 2  红外反射分析技术 
    红外反射分析技术是研究紫外光固化过程的重要手段之一 , 它将傅里叶变换红外光谱 ( FT - IR) 和 ATR ( 衰减全反射 ) 计算机附件联合应用 , 特别适用于研究表面涂层的信息 [ 12 ] 。区别于一般的红外透射吸收 , 该技术的原理是 : 当入射角大于临界角 , 光线在表面发生反射 , 但要透过一定的深度才能反射回来 , 若样品对光线有选择吸收 , 则全反射光能量被衰减 , 故称 ATR [ 13 ] , 由此可以通过收集光洁样品前表面处的红外反射光来获得物质表面的特征基团等结构信息。已有文献 [ 14 ] 通过对红外谱图的适时监控 , 观察紫外光固化过程中涂层表面化学结构的转变。 
    图 3 是聚丙烯酸酯 ( EB 80) 固化过程中不同时间段的涂层表面红外谱图 , 它反映了个别基团随时间的消减变化情况。在经历了 180 min 的紫外光固化后 , 810 cm - 1 处丙烯酸树脂中— CH 伸缩振动特征峰基本消失。另外 , 984 cm - 1 处 ( CH 2 = CH — ) 、 1 408 cm - 1 处 ( CH 2 = CH ) 和 1 635 cm - 1 处 ( 丙烯酸中碳碳双键 ) 的吸收峰也渐渐消失了。因此可以通过最终涂层表面的特征官能团的信息 , 了解涂层表面极性和润湿性的有关情况。
    式中 , θ dim 和θ w 分别为二碘甲烷、水在紫外光固化材料表面的接触角。 
    1. 2  红外反射分析技术 
    红外反射分析技术是研究紫外光固化过程的重要手段之一 , 它将傅里叶变换红外光谱 ( FT - IR) 和 ATR ( 衰减全反射 ) 计算机附件联合应用 , 特别适用于研究表面涂层的信息 [ 12 ] 。区别于一般的红外透射吸收 , 该技术的原理是 : 当入射角大于临界角 , 光线在表面发生反射 , 但要透过一定的深度才能反射回来 , 若样品对光线有选择吸收 , 则全反射光能量被衰减 , 故称 ATR [ 13 ] , 由此可以通过收集光洁样品前表面处的红外反射光来获得物质表面的特征基团等结构信息。已有文献 [ 14 ] 通过对红外谱图的适时监控 , 观察紫外光固化过程中涂层表面化学结构的转变。 
    图 3 是聚丙烯酸酯 ( EB 80) 固化过程中不同时间段的涂层表面红外谱图 , 它反映了个别基团随时间的消减变化情况。在经历了 180 min 的紫外光固化后 , 810 cm - 1 处丙烯酸树脂中— CH 伸缩振动特征峰基本消失。另外 , 984 cm - 1 处 ( CH 2 = CH — ) 、 1 408 cm - 1 处 ( CH 2 = CH ) 和 1 635 cm - 1 处 ( 丙烯酸中碳碳双键 ) 的吸收峰也渐渐消失了。因此可以通过最终涂层表面的特征官能团的信息 , 了解涂层表面极性和润湿性的有关情况。 
![图 3   不同固化时间下丙烯酸树脂的 FT - IR 谱图 [ 14 ]](/uploadfile/201008/20100827031248976.gif) 图 3   不同固化时间下丙烯酸树脂的 FT - IR 谱图 [ 14 ]
    1. 3 XPS 分析技术 
    XPS 分析的原理是 : 当样品在具有能量为 h ν的软性 X 射线辐射下 , 由于光电子效应而释放出具有各种动能的光电子 , 根据释放出来的光电子的动能和光电子量 , 来获得有关试样表面数层原子的元素组成和化学键状态的信息 [ 15 ] , 一般探测深度为 1 . 0 ~ 10 nm [ 16 ] 。它也是研究涂层表面的有效手段 , 是红外反射分析的有益补充。 Sangermano M 等人 [ 17 ] 用 XPS 技术测定了加入含氟单体 FOX 后 , 涂层表面的元素组成。 
 图 4 是掠射角为 45 °时 , C1 s 和 F1 s 的 XPS 图谱。当 FOX 的质量分数为 5% 时 , F1 s 的原子结合能为 690 eV 左右 , 而当其质量分数增加到 10% 和 15% 时 , 结合能值变大且强度增加。同时 , 对于 C1 s 来说 , 随着 FOX 含量的增加 , C — F 结合键的增多 , 结合能的峰值也向数值大的方向偏移。其中 , 峰值为 285 eV 处 C 原子的主要结合方式为 : C — H 、 C — C 、 C — O, 而 295 eV 处为 C — F 结合键。 
  将图 4 的 XPS 曲线进行拟合 , 通过峰面积计算 , 得出各元素在表面的相对含量。表 1 是不同 FOX 含量 ( 质量分数 ) 样品在掠射角为 25 °、 45 °、 85 °时测得的 C 、 O 、 F 三种元素的含量。
图 3   不同固化时间下丙烯酸树脂的 FT - IR 谱图 [ 14 ]
    1. 3 XPS 分析技术 
    XPS 分析的原理是 : 当样品在具有能量为 h ν的软性 X 射线辐射下 , 由于光电子效应而释放出具有各种动能的光电子 , 根据释放出来的光电子的动能和光电子量 , 来获得有关试样表面数层原子的元素组成和化学键状态的信息 [ 15 ] , 一般探测深度为 1 . 0 ~ 10 nm [ 16 ] 。它也是研究涂层表面的有效手段 , 是红外反射分析的有益补充。 Sangermano M 等人 [ 17 ] 用 XPS 技术测定了加入含氟单体 FOX 后 , 涂层表面的元素组成。 
 图 4 是掠射角为 45 °时 , C1 s 和 F1 s 的 XPS 图谱。当 FOX 的质量分数为 5% 时 , F1 s 的原子结合能为 690 eV 左右 , 而当其质量分数增加到 10% 和 15% 时 , 结合能值变大且强度增加。同时 , 对于 C1 s 来说 , 随着 FOX 含量的增加 , C — F 结合键的增多 , 结合能的峰值也向数值大的方向偏移。其中 , 峰值为 285 eV 处 C 原子的主要结合方式为 : C — H 、 C — C 、 C — O, 而 295 eV 处为 C — F 结合键。 
  将图 4 的 XPS 曲线进行拟合 , 通过峰面积计算 , 得出各元素在表面的相对含量。表 1 是不同 FOX 含量 ( 质量分数 ) 样品在掠射角为 25 °、 45 °、 85 °时测得的 C 、 O 、 F 三种元素的含量。 
![图 4 C1 s 和 F1 s 的高分辨率 XPS 图谱 ( 掠射角为 45 ° ) [ 17 ]](/uploadfile/201008/20100827031248680.gif) 图 4 C1 s 和 F1 s 的高分辨率 XPS 图谱 ( 掠射角为 45 ° ) [ 17 ]
图 4 C1 s 和 F1 s 的高分辨率 XPS 图谱 ( 掠射角为 45 ° ) [ 17 ]
 表 1 XPS 法测得的各原子表面浓度 [/%
   进而由表 1 中氟原子的含量得出涂层表面 FOX 单体的浓度 , 列于表 2 。
表 1 XPS 法测得的各原子表面浓度 [/%
   进而由表 1 中氟原子的含量得出涂层表面 FOX 单体的浓度 , 列于表 2 。 
 表 2   单体的表面浓度%
  结果发现 , 当 FOX 质量分数为 15% 时 , 固化后涂层表面的含氟单体浓度几乎达到饱和。 
2  材料的组成物质以及其他因素对表面性能的影响 
  紫外光固化材料主要由低聚物、单体稀释剂、光引发剂组成 , 有时为了获得某些特殊性能 , 再配以适量的助剂、填料等 [ 18 ] 。这里主要从活性反应物 ( 单体稀释剂、低聚物 ) 和助剂方面来讨论其对光固化材料表面性质的影响。 
    2. 1  活性反应物的影响 
    在紫外光固化材料组成中 , 活性反应物包括单体稀释剂和低聚物。单体对光固化材料的性能起着关键的影响。文献指出 [ 19 ] , 加入带有羟基的单体可以调节光固化材料表面的润湿性能。该文章报道在丙烯酸羟乙基的氨基酯有机硅聚合物中 , 当添加占树脂质量 1 /3 的单体后 , 其固化涂膜表面润湿性能就发生变化。如添加双官能团单体二缩三丙二醇二丙烯酸酯 ( TPGDA) 后 , 固化薄膜表面对水的接触角从纯树脂的 99. 6 °降到了 74. 3 ° , 再如添加三官能单体季戊四醇三丙烯酸酯 ( PETA) , 其接触角降为更低的 62 .4 °。即加入有羟基的单体能增强固化薄膜表面的润湿性能 , 表面亲水性也增强。低聚物是光固化材料的主体 , 其性能基本上决定了固化后材料的主要性能。其中 , 有机硅低聚物的紫外光固化材料的表面具有疏水性好、表面张力低等特点 [20 ] , 因而受到越来越多的关注。现在用的较多的有机硅低聚物为聚二甲基硅氧烷的丙烯酸树脂 (Acrylate functional polydimethylsiloxane, AF 2 PDMS) 。 Kim HK 等 [21 ] 还研究发现在聚酯丙烯酸树脂中 , 添加质量分数为 1% 的 AF 2 PDMS 后 , 涂层的表面张力由 38 . 1 mN /m 降到 37 .4 mN /m, 同时涂层表面 AF - PDMS 的含量也增加。 
2. 2  助剂的影响 
    为了改善紫外光固化材料的性能 , 有时还需要加入适量的助剂。包括消泡剂、消光剂、流平剂、流动改性剂等来改善光固化材料的表面性能。如流平剂能很好地降低光固化涂层的表面张力 , 改善流平性。 
    现在不少研究者将单体进行一些化学改性 , 来改变固化 薄膜表面的化学组成及性质 , 获得材料表面的某些特殊性能。其中以添加含氟元素的改性助剂为主。氟元素单体对光固化材料的表面性质能够产生一些特殊的影响 , 如憎水性强、表面张力低、优异的耐化学腐蚀性等。 
    如 SangermanoM 等人 [ 22 ] 将两种含氟改性助剂混合后添加到低聚物中固化 , 发现固化后的涂膜表面性能发生了巨大的改变。加入的含氟单体有选择性地迁移到了与空气接触的表面 , 主要富集于固化产物表面 , 降低了材料表面张力 , 显示出了疏水性。而材料本体以及与玻璃接触面的性质则与纯树脂固化产物的性质相差不大。由此可见 , 氟能起到光固化材料表面的功能化作用。 
    2. 3  基材的影响 
光固化材料的表面性能不仅与涂料配方有关 , 还与基材密切相关。基材的性质直接影响固化产物的表面性质。有人将含有全氟聚醚结构的单体作为改性助剂 [ 23 ] , 固化后的涂膜经 XPS 分析表明 : PE 为基材时 , 随着含氟单体含量的增加 , 两接触界面都被改性 , 但空气面的疏水性仍比 PE 面的强。尽管这些含氟大分子单体的两端都连着极性基团 , 但低表面能的 PFPE 链段也会选择性地富集在非极性界面上。且对于非极性基材上的涂膜来说 , 两接触界面的 F1 s/C1 s,O1 s/C1 s 和 N1 s/C1 s 的比值非常接近。而对于极性基材 ( 玻璃 ) 来说 , 两面的 F1 s/C1 s, O1 s/C1 s 和 N1 s/C1 s 的比值就相差较大 , F1 s/C1 s 的差别尤其明显。 
    也有人做了三种基材的横向比较 , Bongiovanni R 等人 [ 24 ] 在 BHEDA 中含有添加一含氟单体后 , 分别涂布于玻璃、高密度聚乙烯、聚四氟乙烯三种基材的表面 , 然后将它们一起置于惰性环境中光固化后。测得的固化膜表面张力如表 3 所示。
表 2   单体的表面浓度%
  结果发现 , 当 FOX 质量分数为 15% 时 , 固化后涂层表面的含氟单体浓度几乎达到饱和。 
2  材料的组成物质以及其他因素对表面性能的影响 
  紫外光固化材料主要由低聚物、单体稀释剂、光引发剂组成 , 有时为了获得某些特殊性能 , 再配以适量的助剂、填料等 [ 18 ] 。这里主要从活性反应物 ( 单体稀释剂、低聚物 ) 和助剂方面来讨论其对光固化材料表面性质的影响。 
    2. 1  活性反应物的影响 
    在紫外光固化材料组成中 , 活性反应物包括单体稀释剂和低聚物。单体对光固化材料的性能起着关键的影响。文献指出 [ 19 ] , 加入带有羟基的单体可以调节光固化材料表面的润湿性能。该文章报道在丙烯酸羟乙基的氨基酯有机硅聚合物中 , 当添加占树脂质量 1 /3 的单体后 , 其固化涂膜表面润湿性能就发生变化。如添加双官能团单体二缩三丙二醇二丙烯酸酯 ( TPGDA) 后 , 固化薄膜表面对水的接触角从纯树脂的 99. 6 °降到了 74. 3 ° , 再如添加三官能单体季戊四醇三丙烯酸酯 ( PETA) , 其接触角降为更低的 62 .4 °。即加入有羟基的单体能增强固化薄膜表面的润湿性能 , 表面亲水性也增强。低聚物是光固化材料的主体 , 其性能基本上决定了固化后材料的主要性能。其中 , 有机硅低聚物的紫外光固化材料的表面具有疏水性好、表面张力低等特点 [20 ] , 因而受到越来越多的关注。现在用的较多的有机硅低聚物为聚二甲基硅氧烷的丙烯酸树脂 (Acrylate functional polydimethylsiloxane, AF 2 PDMS) 。 Kim HK 等 [21 ] 还研究发现在聚酯丙烯酸树脂中 , 添加质量分数为 1% 的 AF 2 PDMS 后 , 涂层的表面张力由 38 . 1 mN /m 降到 37 .4 mN /m, 同时涂层表面 AF - PDMS 的含量也增加。 
2. 2  助剂的影响 
    为了改善紫外光固化材料的性能 , 有时还需要加入适量的助剂。包括消泡剂、消光剂、流平剂、流动改性剂等来改善光固化材料的表面性能。如流平剂能很好地降低光固化涂层的表面张力 , 改善流平性。 
    现在不少研究者将单体进行一些化学改性 , 来改变固化 薄膜表面的化学组成及性质 , 获得材料表面的某些特殊性能。其中以添加含氟元素的改性助剂为主。氟元素单体对光固化材料的表面性质能够产生一些特殊的影响 , 如憎水性强、表面张力低、优异的耐化学腐蚀性等。 
    如 SangermanoM 等人 [ 22 ] 将两种含氟改性助剂混合后添加到低聚物中固化 , 发现固化后的涂膜表面性能发生了巨大的改变。加入的含氟单体有选择性地迁移到了与空气接触的表面 , 主要富集于固化产物表面 , 降低了材料表面张力 , 显示出了疏水性。而材料本体以及与玻璃接触面的性质则与纯树脂固化产物的性质相差不大。由此可见 , 氟能起到光固化材料表面的功能化作用。 
    2. 3  基材的影响 
光固化材料的表面性能不仅与涂料配方有关 , 还与基材密切相关。基材的性质直接影响固化产物的表面性质。有人将含有全氟聚醚结构的单体作为改性助剂 [ 23 ] , 固化后的涂膜经 XPS 分析表明 : PE 为基材时 , 随着含氟单体含量的增加 , 两接触界面都被改性 , 但空气面的疏水性仍比 PE 面的强。尽管这些含氟大分子单体的两端都连着极性基团 , 但低表面能的 PFPE 链段也会选择性地富集在非极性界面上。且对于非极性基材上的涂膜来说 , 两接触界面的 F1 s/C1 s,O1 s/C1 s 和 N1 s/C1 s 的比值非常接近。而对于极性基材 ( 玻璃 ) 来说 , 两面的 F1 s/C1 s, O1 s/C1 s 和 N1 s/C1 s 的比值就相差较大 , F1 s/C1 s 的差别尤其明显。 
    也有人做了三种基材的横向比较 , Bongiovanni R 等人 [ 24 ] 在 BHEDA 中含有添加一含氟单体后 , 分别涂布于玻璃、高密度聚乙烯、聚四氟乙烯三种基材的表面 , 然后将它们一起置于惰性环境中光固化后。测得的固化膜表面张力如表 3 所示。  
 表 3   固化薄膜两界面的表面张力
    由表 3 可知 , 一方面 , 固化膜与基材接触界面的性质相差比较大 , 与玻璃接触的固化膜的界面的表面张力为 43 mN /m, 与其他两种基材接触的界面的张力仅为 25 mN /m 左右 , 而另一方面 , 它们与惰性气体接触的表面张力却差不多 , 都为 20 mN /m 左右。因为高密度聚乙烯、聚四氟乙烯本身的极性比较小 , 导致与它们接触界面的表面张力和同样是弱极性惰性气体接触面相差不多 , 且都比较小。而玻璃的极性则比惰性气体大得多 , 从而使其固化薄膜的两接触面的表面张力相差很大。 
    3  结 语 
    紫外光固化材料的表面性能一直是该领域的研究重点 , 随着先进制造技术的快速发展 , 以及 UV 固化涂层在固相微萃取中的日益推广 , 逐层固化中的润湿性和涂层表面的选择吸附性等问题显得尤为关键 , 因此对材料的表面能、表面组成等物化性质的研究自然成了当今的主导方向。而更重要的是从物化性质的研究中探究其形成规律和深层原因 , 这将越来越迎合目前乃至将来的发展要求 , 并且更具有实际意义和挑战性。
  
资料来源: hc360慧聪网
表 3   固化薄膜两界面的表面张力
    由表 3 可知 , 一方面 , 固化膜与基材接触界面的性质相差比较大 , 与玻璃接触的固化膜的界面的表面张力为 43 mN /m, 与其他两种基材接触的界面的张力仅为 25 mN /m 左右 , 而另一方面 , 它们与惰性气体接触的表面张力却差不多 , 都为 20 mN /m 左右。因为高密度聚乙烯、聚四氟乙烯本身的极性比较小 , 导致与它们接触界面的表面张力和同样是弱极性惰性气体接触面相差不多 , 且都比较小。而玻璃的极性则比惰性气体大得多 , 从而使其固化薄膜的两接触面的表面张力相差很大。 
    3  结 语 
    紫外光固化材料的表面性能一直是该领域的研究重点 , 随着先进制造技术的快速发展 , 以及 UV 固化涂层在固相微萃取中的日益推广 , 逐层固化中的润湿性和涂层表面的选择吸附性等问题显得尤为关键 , 因此对材料的表面能、表面组成等物化性质的研究自然成了当今的主导方向。而更重要的是从物化性质的研究中探究其形成规律和深层原因 , 这将越来越迎合目前乃至将来的发展要求 , 并且更具有实际意义和挑战性。
  
资料来源: hc360慧聪网
        
       
      
        
       
    
        
 
     			 
  
  
 图 1   添加剂 F1 对涂膜表面润湿性的影响
图 1   添加剂 F1 对涂膜表面润湿性的影响
 图 2   添加剂 F2 对涂膜表面润湿性的影响
其中 F1 、 F2 分别为
图 2   添加剂 F2 对涂膜表面润湿性的影响
其中 F1 、 F2 分别为 : 和
 : 和 。其具体原理和方法如下 : 根据 Fowkes 理论 , 有机化合物 ( 包括固体和液体 ) 的表面张力主要是由表面张力的色散分量 ( γ d ) 和极性分量 ( γ p ) 构成 :
。其具体原理和方法如下 : 根据 Fowkes 理论 , 有机化合物 ( 包括固体和液体 ) 的表面张力主要是由表面张力的色散分量 ( γ d ) 和极性分量 ( γ p ) 构成 : 
 Owens 2 Wendt 方程从色散力的角度给出了接触角的表达式 :
    Owens 2 Wendt 方程从色散力的角度给出了接触角的表达式 : 
 将 (2) 与 Younge 方程相结合 , 得出方程 :
    将 (2) 与 Younge 方程相结合 , 得出方程 : 
 (2) 、 (3) 式中 ,
    (2) 、 (3) 式中 ,  分别为二碘甲烷的色散力、极性力和表面张力 ,
分别为二碘甲烷的色散力、极性力和表面张力 , 为水的色散力和表面张力 ,
为水的色散力和表面张力 ,  分别为固体的色散力和极性力。因此 , 如果有两种液体 , 它们的表面张力及其色散分量和极性分量都是已知的 , 则测出这两种液体在待测固体表面的接触角便可以最终得出固体的表面能。该文中用水和二碘甲烷 ( 此法中常用的标准液体 ) 测量 , 其中 , 水的表面张力和色散分量分别为 72 . 8 mN /m 和 21 . 8 mN /m ( 20 ℃ ) ; 二碘甲烷的表面张力和色散分量分别为 50 . 8 mN /m 和 49 . 5 mN /m ( 20 ℃ ) 。将水和二碘甲烷的表面张力、色散力以及两种液体测得的接触角代入 (4) 和 (5) , 可得固化材料的色散力和极性力 :
分别为固体的色散力和极性力。因此 , 如果有两种液体 , 它们的表面张力及其色散分量和极性分量都是已知的 , 则测出这两种液体在待测固体表面的接触角便可以最终得出固体的表面能。该文中用水和二碘甲烷 ( 此法中常用的标准液体 ) 测量 , 其中 , 水的表面张力和色散分量分别为 72 . 8 mN /m 和 21 . 8 mN /m ( 20 ℃ ) ; 二碘甲烷的表面张力和色散分量分别为 50 . 8 mN /m 和 49 . 5 mN /m ( 20 ℃ ) 。将水和二碘甲烷的表面张力、色散力以及两种液体测得的接触角代入 (4) 和 (5) , 可得固化材料的色散力和极性力 : 
 式中 , θ dim 和θ w 分别为二碘甲烷、水在紫外光固化材料表面的接触角。 
    1. 2  红外反射分析技术 
    红外反射分析技术是研究紫外光固化过程的重要手段之一 , 它将傅里叶变换红外光谱 ( FT - IR) 和 ATR ( 衰减全反射 ) 计算机附件联合应用 , 特别适用于研究表面涂层的信息 [ 12 ] 。区别于一般的红外透射吸收 , 该技术的原理是 : 当入射角大于临界角 , 光线在表面发生反射 , 但要透过一定的深度才能反射回来 , 若样品对光线有选择吸收 , 则全反射光能量被衰减 , 故称 ATR [ 13 ] , 由此可以通过收集光洁样品前表面处的红外反射光来获得物质表面的特征基团等结构信息。已有文献 [ 14 ] 通过对红外谱图的适时监控 , 观察紫外光固化过程中涂层表面化学结构的转变。 
    图 3 是聚丙烯酸酯 ( EB 80) 固化过程中不同时间段的涂层表面红外谱图 , 它反映了个别基团随时间的消减变化情况。在经历了 180 min 的紫外光固化后 , 810 cm - 1 处丙烯酸树脂中— CH 伸缩振动特征峰基本消失。另外 , 984 cm - 1 处 ( CH 2 = CH — ) 、 1 408 cm - 1 处 ( CH 2 = CH ) 和 1 635 cm - 1 处 ( 丙烯酸中碳碳双键 ) 的吸收峰也渐渐消失了。因此可以通过最终涂层表面的特征官能团的信息 , 了解涂层表面极性和润湿性的有关情况。
    式中 , θ dim 和θ w 分别为二碘甲烷、水在紫外光固化材料表面的接触角。 
    1. 2  红外反射分析技术 
    红外反射分析技术是研究紫外光固化过程的重要手段之一 , 它将傅里叶变换红外光谱 ( FT - IR) 和 ATR ( 衰减全反射 ) 计算机附件联合应用 , 特别适用于研究表面涂层的信息 [ 12 ] 。区别于一般的红外透射吸收 , 该技术的原理是 : 当入射角大于临界角 , 光线在表面发生反射 , 但要透过一定的深度才能反射回来 , 若样品对光线有选择吸收 , 则全反射光能量被衰减 , 故称 ATR [ 13 ] , 由此可以通过收集光洁样品前表面处的红外反射光来获得物质表面的特征基团等结构信息。已有文献 [ 14 ] 通过对红外谱图的适时监控 , 观察紫外光固化过程中涂层表面化学结构的转变。 
    图 3 是聚丙烯酸酯 ( EB 80) 固化过程中不同时间段的涂层表面红外谱图 , 它反映了个别基团随时间的消减变化情况。在经历了 180 min 的紫外光固化后 , 810 cm - 1 处丙烯酸树脂中— CH 伸缩振动特征峰基本消失。另外 , 984 cm - 1 处 ( CH 2 = CH — ) 、 1 408 cm - 1 处 ( CH 2 = CH ) 和 1 635 cm - 1 处 ( 丙烯酸中碳碳双键 ) 的吸收峰也渐渐消失了。因此可以通过最终涂层表面的特征官能团的信息 , 了解涂层表面极性和润湿性的有关情况。 
![图 3   不同固化时间下丙烯酸树脂的 FT - IR 谱图 [ 14 ]](/uploadfile/201008/20100827031248976.gif) 图 3   不同固化时间下丙烯酸树脂的 FT - IR 谱图 [ 14 ]
    1. 3 XPS 分析技术 
    XPS 分析的原理是 : 当样品在具有能量为 h ν的软性 X 射线辐射下 , 由于光电子效应而释放出具有各种动能的光电子 , 根据释放出来的光电子的动能和光电子量 , 来获得有关试样表面数层原子的元素组成和化学键状态的信息 [ 15 ] , 一般探测深度为 1 . 0 ~ 10 nm [ 16 ] 。它也是研究涂层表面的有效手段 , 是红外反射分析的有益补充。 Sangermano M 等人 [ 17 ] 用 XPS 技术测定了加入含氟单体 FOX 后 , 涂层表面的元素组成。 
 图 4 是掠射角为 45 °时 , C1 s 和 F1 s 的 XPS 图谱。当 FOX 的质量分数为 5% 时 , F1 s 的原子结合能为 690 eV 左右 , 而当其质量分数增加到 10% 和 15% 时 , 结合能值变大且强度增加。同时 , 对于 C1 s 来说 , 随着 FOX 含量的增加 , C — F 结合键的增多 , 结合能的峰值也向数值大的方向偏移。其中 , 峰值为 285 eV 处 C 原子的主要结合方式为 : C — H 、 C — C 、 C — O, 而 295 eV 处为 C — F 结合键。 
  将图 4 的 XPS 曲线进行拟合 , 通过峰面积计算 , 得出各元素在表面的相对含量。表 1 是不同 FOX 含量 ( 质量分数 ) 样品在掠射角为 25 °、 45 °、 85 °时测得的 C 、 O 、 F 三种元素的含量。
图 3   不同固化时间下丙烯酸树脂的 FT - IR 谱图 [ 14 ]
    1. 3 XPS 分析技术 
    XPS 分析的原理是 : 当样品在具有能量为 h ν的软性 X 射线辐射下 , 由于光电子效应而释放出具有各种动能的光电子 , 根据释放出来的光电子的动能和光电子量 , 来获得有关试样表面数层原子的元素组成和化学键状态的信息 [ 15 ] , 一般探测深度为 1 . 0 ~ 10 nm [ 16 ] 。它也是研究涂层表面的有效手段 , 是红外反射分析的有益补充。 Sangermano M 等人 [ 17 ] 用 XPS 技术测定了加入含氟单体 FOX 后 , 涂层表面的元素组成。 
 图 4 是掠射角为 45 °时 , C1 s 和 F1 s 的 XPS 图谱。当 FOX 的质量分数为 5% 时 , F1 s 的原子结合能为 690 eV 左右 , 而当其质量分数增加到 10% 和 15% 时 , 结合能值变大且强度增加。同时 , 对于 C1 s 来说 , 随着 FOX 含量的增加 , C — F 结合键的增多 , 结合能的峰值也向数值大的方向偏移。其中 , 峰值为 285 eV 处 C 原子的主要结合方式为 : C — H 、 C — C 、 C — O, 而 295 eV 处为 C — F 结合键。 
  将图 4 的 XPS 曲线进行拟合 , 通过峰面积计算 , 得出各元素在表面的相对含量。表 1 是不同 FOX 含量 ( 质量分数 ) 样品在掠射角为 25 °、 45 °、 85 °时测得的 C 、 O 、 F 三种元素的含量。 
![图 4 C1 s 和 F1 s 的高分辨率 XPS 图谱 ( 掠射角为 45 ° ) [ 17 ]](/uploadfile/201008/20100827031248680.gif) 图 4 C1 s 和 F1 s 的高分辨率 XPS 图谱 ( 掠射角为 45 ° ) [ 17 ]
图 4 C1 s 和 F1 s 的高分辨率 XPS 图谱 ( 掠射角为 45 ° ) [ 17 ]
 表 1 XPS 法测得的各原子表面浓度 [/%
   进而由表 1 中氟原子的含量得出涂层表面 FOX 单体的浓度 , 列于表 2 。
表 1 XPS 法测得的各原子表面浓度 [/%
   进而由表 1 中氟原子的含量得出涂层表面 FOX 单体的浓度 , 列于表 2 。 
 表 2   单体的表面浓度%
  结果发现 , 当 FOX 质量分数为 15% 时 , 固化后涂层表面的含氟单体浓度几乎达到饱和。 
2  材料的组成物质以及其他因素对表面性能的影响 
  紫外光固化材料主要由低聚物、单体稀释剂、光引发剂组成 , 有时为了获得某些特殊性能 , 再配以适量的助剂、填料等 [ 18 ] 。这里主要从活性反应物 ( 单体稀释剂、低聚物 ) 和助剂方面来讨论其对光固化材料表面性质的影响。 
    2. 1  活性反应物的影响 
    在紫外光固化材料组成中 , 活性反应物包括单体稀释剂和低聚物。单体对光固化材料的性能起着关键的影响。文献指出 [ 19 ] , 加入带有羟基的单体可以调节光固化材料表面的润湿性能。该文章报道在丙烯酸羟乙基的氨基酯有机硅聚合物中 , 当添加占树脂质量 1 /3 的单体后 , 其固化涂膜表面润湿性能就发生变化。如添加双官能团单体二缩三丙二醇二丙烯酸酯 ( TPGDA) 后 , 固化薄膜表面对水的接触角从纯树脂的 99. 6 °降到了 74. 3 ° , 再如添加三官能单体季戊四醇三丙烯酸酯 ( PETA) , 其接触角降为更低的 62 .4 °。即加入有羟基的单体能增强固化薄膜表面的润湿性能 , 表面亲水性也增强。低聚物是光固化材料的主体 , 其性能基本上决定了固化后材料的主要性能。其中 , 有机硅低聚物的紫外光固化材料的表面具有疏水性好、表面张力低等特点 [20 ] , 因而受到越来越多的关注。现在用的较多的有机硅低聚物为聚二甲基硅氧烷的丙烯酸树脂 (Acrylate functional polydimethylsiloxane, AF 2 PDMS) 。 Kim HK 等 [21 ] 还研究发现在聚酯丙烯酸树脂中 , 添加质量分数为 1% 的 AF 2 PDMS 后 , 涂层的表面张力由 38 . 1 mN /m 降到 37 .4 mN /m, 同时涂层表面 AF - PDMS 的含量也增加。 
2. 2  助剂的影响 
    为了改善紫外光固化材料的性能 , 有时还需要加入适量的助剂。包括消泡剂、消光剂、流平剂、流动改性剂等来改善光固化材料的表面性能。如流平剂能很好地降低光固化涂层的表面张力 , 改善流平性。 
    现在不少研究者将单体进行一些化学改性 , 来改变固化 薄膜表面的化学组成及性质 , 获得材料表面的某些特殊性能。其中以添加含氟元素的改性助剂为主。氟元素单体对光固化材料的表面性质能够产生一些特殊的影响 , 如憎水性强、表面张力低、优异的耐化学腐蚀性等。 
    如 SangermanoM 等人 [ 22 ] 将两种含氟改性助剂混合后添加到低聚物中固化 , 发现固化后的涂膜表面性能发生了巨大的改变。加入的含氟单体有选择性地迁移到了与空气接触的表面 , 主要富集于固化产物表面 , 降低了材料表面张力 , 显示出了疏水性。而材料本体以及与玻璃接触面的性质则与纯树脂固化产物的性质相差不大。由此可见 , 氟能起到光固化材料表面的功能化作用。 
    2. 3  基材的影响 
光固化材料的表面性能不仅与涂料配方有关 , 还与基材密切相关。基材的性质直接影响固化产物的表面性质。有人将含有全氟聚醚结构的单体作为改性助剂 [ 23 ] , 固化后的涂膜经 XPS 分析表明 : PE 为基材时 , 随着含氟单体含量的增加 , 两接触界面都被改性 , 但空气面的疏水性仍比 PE 面的强。尽管这些含氟大分子单体的两端都连着极性基团 , 但低表面能的 PFPE 链段也会选择性地富集在非极性界面上。且对于非极性基材上的涂膜来说 , 两接触界面的 F1 s/C1 s,O1 s/C1 s 和 N1 s/C1 s 的比值非常接近。而对于极性基材 ( 玻璃 ) 来说 , 两面的 F1 s/C1 s, O1 s/C1 s 和 N1 s/C1 s 的比值就相差较大 , F1 s/C1 s 的差别尤其明显。 
    也有人做了三种基材的横向比较 , Bongiovanni R 等人 [ 24 ] 在 BHEDA 中含有添加一含氟单体后 , 分别涂布于玻璃、高密度聚乙烯、聚四氟乙烯三种基材的表面 , 然后将它们一起置于惰性环境中光固化后。测得的固化膜表面张力如表 3 所示。
表 2   单体的表面浓度%
  结果发现 , 当 FOX 质量分数为 15% 时 , 固化后涂层表面的含氟单体浓度几乎达到饱和。 
2  材料的组成物质以及其他因素对表面性能的影响 
  紫外光固化材料主要由低聚物、单体稀释剂、光引发剂组成 , 有时为了获得某些特殊性能 , 再配以适量的助剂、填料等 [ 18 ] 。这里主要从活性反应物 ( 单体稀释剂、低聚物 ) 和助剂方面来讨论其对光固化材料表面性质的影响。 
    2. 1  活性反应物的影响 
    在紫外光固化材料组成中 , 活性反应物包括单体稀释剂和低聚物。单体对光固化材料的性能起着关键的影响。文献指出 [ 19 ] , 加入带有羟基的单体可以调节光固化材料表面的润湿性能。该文章报道在丙烯酸羟乙基的氨基酯有机硅聚合物中 , 当添加占树脂质量 1 /3 的单体后 , 其固化涂膜表面润湿性能就发生变化。如添加双官能团单体二缩三丙二醇二丙烯酸酯 ( TPGDA) 后 , 固化薄膜表面对水的接触角从纯树脂的 99. 6 °降到了 74. 3 ° , 再如添加三官能单体季戊四醇三丙烯酸酯 ( PETA) , 其接触角降为更低的 62 .4 °。即加入有羟基的单体能增强固化薄膜表面的润湿性能 , 表面亲水性也增强。低聚物是光固化材料的主体 , 其性能基本上决定了固化后材料的主要性能。其中 , 有机硅低聚物的紫外光固化材料的表面具有疏水性好、表面张力低等特点 [20 ] , 因而受到越来越多的关注。现在用的较多的有机硅低聚物为聚二甲基硅氧烷的丙烯酸树脂 (Acrylate functional polydimethylsiloxane, AF 2 PDMS) 。 Kim HK 等 [21 ] 还研究发现在聚酯丙烯酸树脂中 , 添加质量分数为 1% 的 AF 2 PDMS 后 , 涂层的表面张力由 38 . 1 mN /m 降到 37 .4 mN /m, 同时涂层表面 AF - PDMS 的含量也增加。 
2. 2  助剂的影响 
    为了改善紫外光固化材料的性能 , 有时还需要加入适量的助剂。包括消泡剂、消光剂、流平剂、流动改性剂等来改善光固化材料的表面性能。如流平剂能很好地降低光固化涂层的表面张力 , 改善流平性。 
    现在不少研究者将单体进行一些化学改性 , 来改变固化 薄膜表面的化学组成及性质 , 获得材料表面的某些特殊性能。其中以添加含氟元素的改性助剂为主。氟元素单体对光固化材料的表面性质能够产生一些特殊的影响 , 如憎水性强、表面张力低、优异的耐化学腐蚀性等。 
    如 SangermanoM 等人 [ 22 ] 将两种含氟改性助剂混合后添加到低聚物中固化 , 发现固化后的涂膜表面性能发生了巨大的改变。加入的含氟单体有选择性地迁移到了与空气接触的表面 , 主要富集于固化产物表面 , 降低了材料表面张力 , 显示出了疏水性。而材料本体以及与玻璃接触面的性质则与纯树脂固化产物的性质相差不大。由此可见 , 氟能起到光固化材料表面的功能化作用。 
    2. 3  基材的影响 
光固化材料的表面性能不仅与涂料配方有关 , 还与基材密切相关。基材的性质直接影响固化产物的表面性质。有人将含有全氟聚醚结构的单体作为改性助剂 [ 23 ] , 固化后的涂膜经 XPS 分析表明 : PE 为基材时 , 随着含氟单体含量的增加 , 两接触界面都被改性 , 但空气面的疏水性仍比 PE 面的强。尽管这些含氟大分子单体的两端都连着极性基团 , 但低表面能的 PFPE 链段也会选择性地富集在非极性界面上。且对于非极性基材上的涂膜来说 , 两接触界面的 F1 s/C1 s,O1 s/C1 s 和 N1 s/C1 s 的比值非常接近。而对于极性基材 ( 玻璃 ) 来说 , 两面的 F1 s/C1 s, O1 s/C1 s 和 N1 s/C1 s 的比值就相差较大 , F1 s/C1 s 的差别尤其明显。 
    也有人做了三种基材的横向比较 , Bongiovanni R 等人 [ 24 ] 在 BHEDA 中含有添加一含氟单体后 , 分别涂布于玻璃、高密度聚乙烯、聚四氟乙烯三种基材的表面 , 然后将它们一起置于惰性环境中光固化后。测得的固化膜表面张力如表 3 所示。  
 表 3   固化薄膜两界面的表面张力
    由表 3 可知 , 一方面 , 固化膜与基材接触界面的性质相差比较大 , 与玻璃接触的固化膜的界面的表面张力为 43 mN /m, 与其他两种基材接触的界面的张力仅为 25 mN /m 左右 , 而另一方面 , 它们与惰性气体接触的表面张力却差不多 , 都为 20 mN /m 左右。因为高密度聚乙烯、聚四氟乙烯本身的极性比较小 , 导致与它们接触界面的表面张力和同样是弱极性惰性气体接触面相差不多 , 且都比较小。而玻璃的极性则比惰性气体大得多 , 从而使其固化薄膜的两接触面的表面张力相差很大。 
    3  结 语 
    紫外光固化材料的表面性能一直是该领域的研究重点 , 随着先进制造技术的快速发展 , 以及 UV 固化涂层在固相微萃取中的日益推广 , 逐层固化中的润湿性和涂层表面的选择吸附性等问题显得尤为关键 , 因此对材料的表面能、表面组成等物化性质的研究自然成了当今的主导方向。而更重要的是从物化性质的研究中探究其形成规律和深层原因 , 这将越来越迎合目前乃至将来的发展要求 , 并且更具有实际意义和挑战性。
  
资料来源: hc360慧聪网
表 3   固化薄膜两界面的表面张力
    由表 3 可知 , 一方面 , 固化膜与基材接触界面的性质相差比较大 , 与玻璃接触的固化膜的界面的表面张力为 43 mN /m, 与其他两种基材接触的界面的张力仅为 25 mN /m 左右 , 而另一方面 , 它们与惰性气体接触的表面张力却差不多 , 都为 20 mN /m 左右。因为高密度聚乙烯、聚四氟乙烯本身的极性比较小 , 导致与它们接触界面的表面张力和同样是弱极性惰性气体接触面相差不多 , 且都比较小。而玻璃的极性则比惰性气体大得多 , 从而使其固化薄膜的两接触面的表面张力相差很大。 
    3  结 语 
    紫外光固化材料的表面性能一直是该领域的研究重点 , 随着先进制造技术的快速发展 , 以及 UV 固化涂层在固相微萃取中的日益推广 , 逐层固化中的润湿性和涂层表面的选择吸附性等问题显得尤为关键 , 因此对材料的表面能、表面组成等物化性质的研究自然成了当今的主导方向。而更重要的是从物化性质的研究中探究其形成规律和深层原因 , 这将越来越迎合目前乃至将来的发展要求 , 并且更具有实际意义和挑战性。
  
资料来源: hc360慧聪网
下一篇:船舶防腐蚀涂料的研究发展方向
相关文章
发布评论
 
  已有
已有 杭州湖州绍兴马莱
杭州湖州绍兴马莱 巴洛克风格餐厅
巴洛克风格餐厅 马来漆工程097
马来漆工程097 马来漆工程095
马来漆工程095 马来漆工程094
马来漆工程094 马来漆工程086
马来漆工程086 马来漆工程082
马来漆工程082 马来漆工程078
马来漆工程078 马来漆工程069
马来漆工程069 马来漆工程065
马来漆工程065 马来漆工程061
马来漆工程061 马来漆工程060
马来漆工程060 马来漆工程051
马来漆工程051 马来漆工程036
马来漆工程036 马来漆工程034
马来漆工程034 马来漆工程031
马来漆工程031 马来漆工程028
马来漆工程028 马来漆工程001
马来漆工程001 马来漆工程002
马来漆工程002 马来漆工程003
马来漆工程003 马来漆工程004
马来漆工程004 马来漆工程005
马来漆工程005 马来漆工程006
马来漆工程006 马来漆工程007
马来漆工程007 马来漆工程008
马来漆工程008 马来漆
马来漆 仿石材
仿石材 艺术漆
艺术漆 液体壁纸
液体壁纸 肌理漆
肌理漆 荧光壁画
荧光壁画 质感涂料
质感涂料 特殊漆
特殊漆 彩石漆
彩石漆 进口涂料
进口涂料 金银箔
金银箔 墙体塑石
墙体塑石 艺术帛
艺术帛 艺术地坪
艺术地坪